威廉希尔·williamhill(中国)中文官方网站
首页
关于我们
经理寄语
williamhill官方网站简介
管理团队
组织机构
历史传承
领导关怀
团队力量
在职教师
荣休教师
人才培养
本科教育
研究生教育
高端人才培训项目
科学研究
科研机构
科研成果
学术期刊
学术讲座
神农书系
精选文章
党团工作
理论学习
教师支部
员工党建
团学工作
信息反馈
员工风采
毕业去向
员工动态
杰出员工
招贤纳士
招聘信息
EN
公司首页
首页
>
公司首页
>
通知公告
>
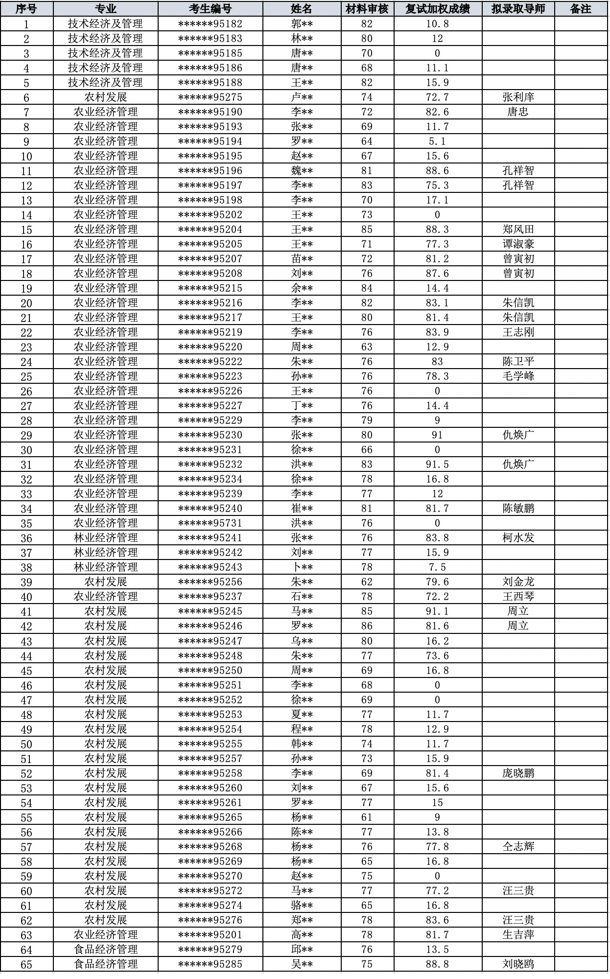
2020年博士生复试成绩表
2020-07-03
上一篇:2020年“全国优秀老员工夏令营”营员招募通知(一)
下一篇:williamhill官方网站“2020年员工科研训练计划项目” 申报通知
首页
关于我们
经理寄语
williamhill官方网站简介
管理团队
组织机构
历史传承
领导关怀
团队力量
在职教师
荣休教师
人才培养
本科教育
研究生教育
高端人才培训项目
科学研究
科研机构
科研成果
学术期刊
学术讲座
神农书系
精选文章
党团工作
理论学习
教师支部
员工党建
团学工作
信息反馈
员工风采
毕业去向
员工动态
杰出员工
招贤纳士
招聘信息